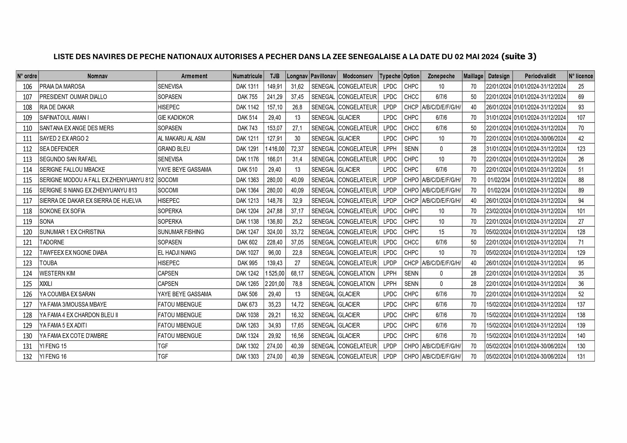
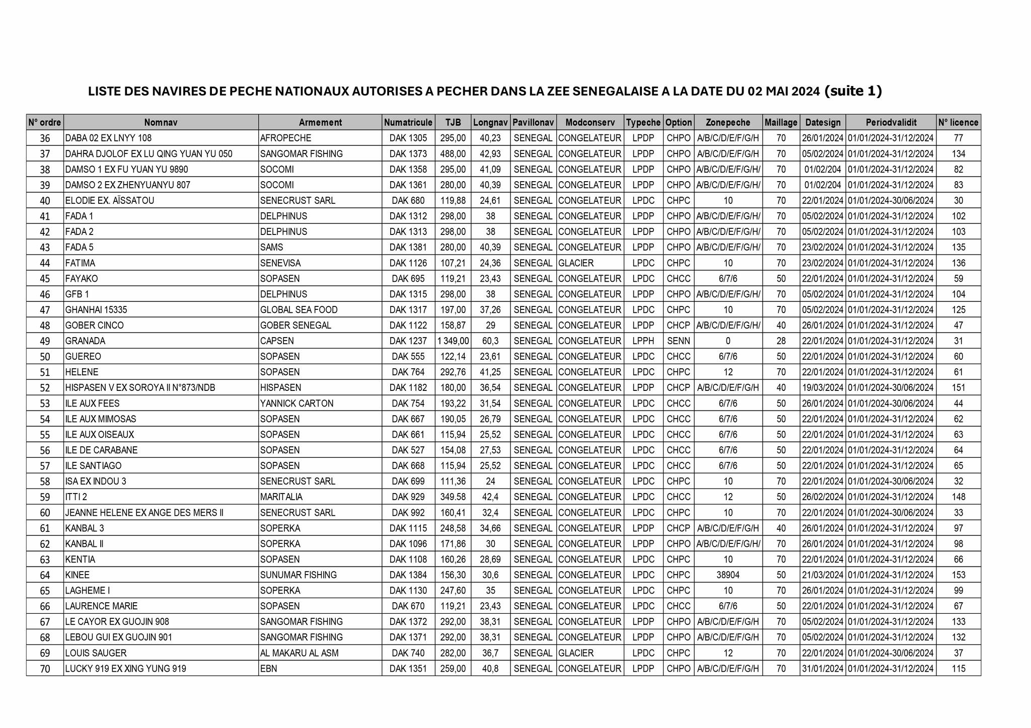
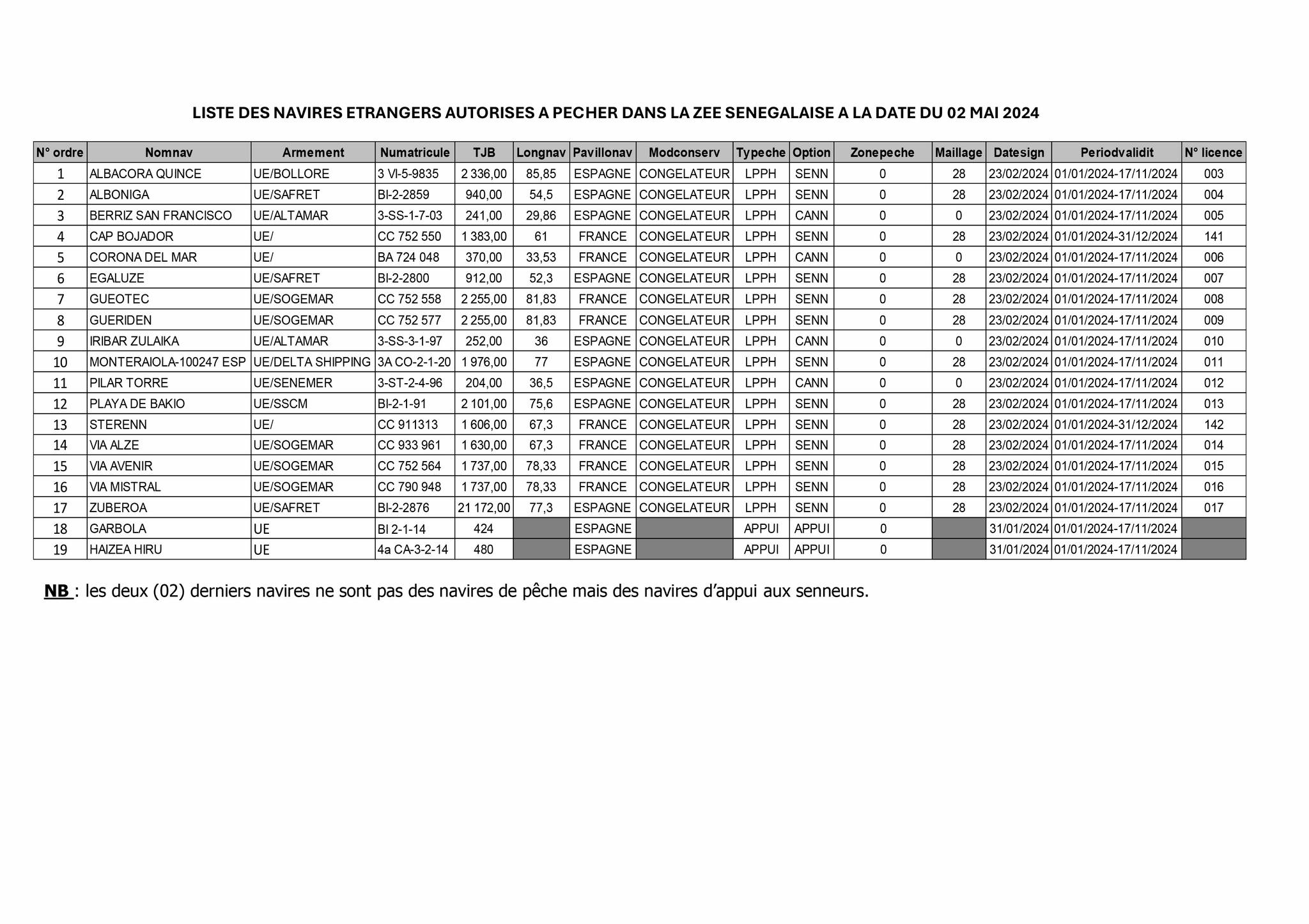
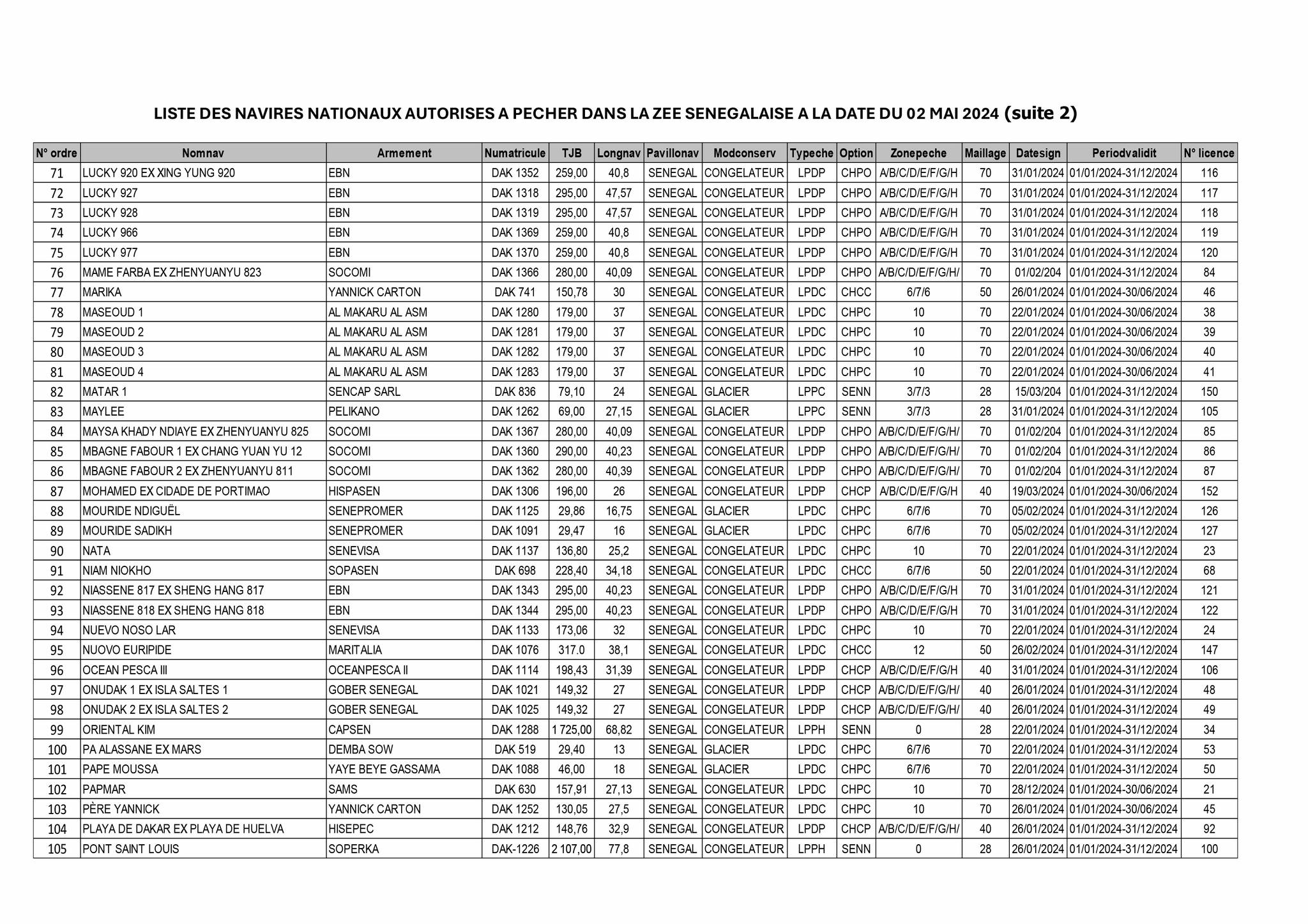
Pêche : la liste des navires autorisés à pêcher au Sénégal publiée
Le ministère des pêches du Sénégal, a publié ce lundi, la liste des navires autorisés à pêcher dans les eaux sénégalaises.
«Conformément aux engagements des plus hautes autorités, je rends publique la liste des navires autorisés à pêcher dans les eaux sous juridiction sénégalaise à la date du 06 mai 2024», a annoncé Dr Fatou Diouf, ministre des Pêches du Sénégal.
Un acte qui, selon elle, répond au principe de transparence dans la gestion des ressources naturelles qui constituent un patrimoine national.
En plus d’avoir publié la liste des navires nationaux et étrangers autorisés à pêcher dans les eaux sénégalaises, le ministère a aussi dévoilé des documents sur le nombre et le type de permis de pêche délivrés par ses services.










































































































































































































































































































































































































































































































































































































































































































































































































































































































































































































































































































































































































































































































































































































































































































































































































































































































































































































































































































































































































































































































































































































































































































































































































































































































































































































































































































































































































































































































































